
L'épreuve de Chimie - Biochimie du concours de Pharmacie, accès DEUG, Rabat 2021 comporte 25 QCM dont 8 QCM en Chimie et 17 autres QCM sur la Biochimie. Coefficient : 3, Durée : 60mn.


Abonnement soutien takween ICI
CHIMIE (Exemples de questions):
QUESTION 55. L'hydrogène est:
A- Un élément chimique de symbole H et de numéro atomique 2.
B- Présent sur terre majoritairement sous la forme de l'isotope 1H (1 proton, 0 neutron).
C- Présent sur terre majoritairement sous la forme de l'isotope 2H (Deutérium).
D- Radioactif sous forme de l'isotope 3H (Tritium)
QUESTION 56. (Chimie). Le carbone est:
A- Un élément du groupe 14 période 2.
B- Un élément chimique de numéro atomique 6 et de symbole C.
C- Radioactif lorsqu'il est sous la forme de l'isotope 13C.
D- Un élément du groupe 2 période 14.
---------------------------------------------
QUESTION 60. (Chimie). La chimie du carbone implique:
A- Quatre liaisons de type métalliques.
B- Trois liaisons de type covalentes.
C- Quatre liaisons de type ionique.
D- Aucune des propositions A, B et C n'est juste.
QUESTION 61. (Chimie). Les liaisons covalentes sont:
A- Impérativement polarisées.
B- Impérativement non polarisées.
C- Le résultat d'interactions intermoléculaires.
D- Aucune des propositions A, B et C n'est juste.
QUESTION 62. (Chimie). Les hydrocarbures sont classés en trois familles :
A- Les alcènes, où au moins un carbone forme des liaisons sp3.
B- Les alcynes, où au moins un carbone forme des liaisons sp.
C- Les alcanes, où le carbone forme des liaisons sp2.
D- Aucune des propositions A, B et C n'est juste.
QUESTION 63. (Chimie). Nommer le composé suivant (voir image de la figure 63):
A- Acide 6-aminobenzoïque.
B- Acide o-aminobenzoïque.
C- Acide p-aminobenzoïque.
D- Acide 4-aminobenzoïque. 
----------------------------------------
BIOCHIMIE (Exemples de questions):
----------------------------------------
QUESTION 64. Chaque isomère du glucose:
A- Possède un seul conformère
B- Est de formule brute C6H12O7
C- Possède exclusivement deux conformères
D- Aucune des propositions A, B et C n'est juste
QUESTION 65. Le fructose est:
A- Un pentose de formule brute C5H10O5.
B- Un ose qui a tendance à se cycliser sous sa forme pyranose (cycle à 5 carbone et 1 oxygène)
C- Un hexose de formule brute C6H12O6.
D- Appelé fructalose
QUESTION 66. Le glycogène est:
A- Un polymère de glucose et de fructose exclusivement linéaire.
B- Un polymère de glucose et de fructose de structure arborescente.
C- Un polymère de glucose de structure exclusivement linéaire.
D- Aucune des propositions A, B et C n'est juste
....................................................
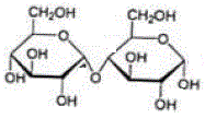
Q69. Nommer le composé suivant:
A- Alpha-D-glucopyranosyl-(1-4)-béta-D-fructofuranoside.
B- Alpha-D-glucopyranosyl-(1-2)-béta-D-fructofuranoside.
C- Maltose.
D- Saccharose.

QUESTION 70. Un acide gras est:
A- Un acide carboxylique à chaîne aromatique.
B- Un acide carboxylique à chaîne aliphatique.
C- Naturel lorsque le nombre d'atomes de carbone est supérieur à 38.
D- Synthétisé par l'organisme par lipolyse.
QUESTION 71. Lesquels de ces acides gras sont saturés ?
A- Acide linoléique.
B- Acide arachidonique.
C- Acide palmitique.
D- Aucune des propositions A, B et C n'est juste.
QUESTION 72. Les triglycérides ont:
A- Une solubilité importante dans l'eau grâce à leur glycérol.
B- Une structure tertiaire maintenue grâce à des liaisons disulfures.
C- Un rôle de structure au niveau membranaire frâce à leur hyrophilie.
D- Aucune des propositions A, B et C n'est juste.
..................................
QUESTION 77. La biosynthèse d'une protéine fait intervenir:
A- Des quadruplets de nucléotides appelés codons.
B- Exclusivement l'ARN nucléaire.
C- L'anticodon d'un ARN de transfert apportant l'acide aminé correspondant.
D- Aucune des propositions A, B et C n'est juste.
QUESTION 78. L'enzyme:
A- Est constituée d'acides aminés qui doivent tous rentrer en contact avec le substrat.
B- Modifie chimiquement le substrat qui se lie à elle.
C- Est une protéine qui présente un site actif.
D- Aucune des propositions A, B et C n'est juste.
QUESTION 79. Nommer le composé suivant :
A- Alanine.
B- Glycine.
C- Leucine.
D- Histidine.

QUESTION 80. Nommer le composé suivant:
A- Alanine
B- Glycine.
C- L-Leucine.
D- Histidine.

![]() |
![]() |
![]() |
![]() |
![]() |

LIENS UTILES:
PASSER LE CONCOURS SOUS ABONNEMENT SOUTIEN TAKWEEN :
------------------------------------
MARRAKECH:
- Passer le Concours de Pharmacie, Marrakech, DEUG 2024, Epreuve Chimie - Biochimie (coef. 3)
- Passer le Concours de Pharmacie, Marrakech, DEUG 2024, Epreuve Biologie (coef. 3)
FES:
- Passer le Concours de Pharmacie, Fes, DEUG 2024, Epreuve Chimie - Biochimie (coef. 3)
- Passer le Concours de Pharmacie, Fes, DEUG 2024, Epreuve Biologie (coef. 3)
- Passer le Concours de Pharmacie, Fes, DEUG 2023, Epreuve Biologie (coef. 3)
- Passer le Concours de Pharmacie, Fes, DEUG 2023, Epreuve chimie-Biochimie (coef. 3)
------------------------------------
CASABLANCA:
- Passer le Concours de Pharmacie, Casablanca, DEUG 2024, Epreuve Biologie (coef. 3)
- Passer le Concours de Pharmacie, Casablanca, DEUG 2024, Epreuve Chimie - Biochimie (coef. 3)
- Passer le Concours de Pharmacie, Casablanca, DEUG 2023, Epreuve Biologie (coef. 3)
- Passer le Concours de Pharmacie, Casablanca, DEUG 2023, Epreuve Chimie-Biochimie (coef. 3)
- Passer le Concours de Pharmacie, Casablanca, DEUG 2022, Epreuve Biologie (coef. 3)
- Passer le Concours de Pharmacie, Casablanca, DEUG 2022, Epreuve Chimie-Biochimie (coef. 3)
RABAT:
- Passer le Concours de Pharmacie, Rabat, DEUG 2024, Epreuve Biologie (coef. 3)
- Passer le Concours de Pharmacie, Rabat, DEUG 2024, Epreuve Chimie-Biochimie (coef. 3)
- Passer le Concours de Pharmacie, Rabat, DEUG 2023, Epreuve Biologie (coef. 3)
- Passer le Concours de Pharmacie, Rabat, DEUG 2022, Epreuve Biologie (coef. 3)
- Passer le Concours de Pharmacie, Rabat, DEUG 2022, Epreuve Chimie-Biochimie (coef. 3)
- Passer le Concours de Pharmacie, Rabat, DEUG 2021, Epreuve Biologie (coef. 3)
- Passer le Concours de Pharmacie, Rabat, DEUG 2021, Epreuve Chimie-Biochimie (coef. 3)
- Passer le Concours de Pharmacie, DEUG 2016, Epreuve Biochimie-Chimie (coef. 3).
TELECHARGER L'EPREUVE DE PHYSIQUE (pdf)![]()
- Epreuve de Physique-Biophysique (coef. 1) du Concours de Pharmacie, Marrakech, DEUG 2024
- Epreuve de Physique-Biophysique (coef. 1) du Concours de Pharmacie, Fes, DEUG 2024
- Epreuve de Physique-Biophysique (coef. 1) du Concours de Pharmacie, Casablanca, DEUG 2024
- Epreuve de Physique, Concours de Rabat, DEUG 2023,
- Epreuve de Physique, Concours de Rabat, DEUG 2022,
---------------------------
- CONCOURS DE PHARMACIE (à partir du BAC et du DEUG). PAGE RELAIS

- QCM DE BIOCHIMIE DU DEUG. PAGE RELAIS

Livre 'Structures et Métabolisme des Sucres', Baaziz, 2018 (+ CD) avec 400 QCM:

- Présentation du livre
- Afiche annonce du livre
Comment avoir ces livres ? أين يمكن اقتناء الكتب؟